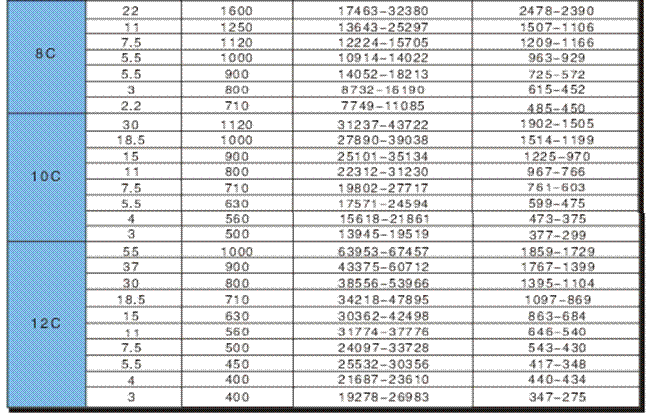
|
F4-72型玻璃钢离心通风机是参照金属4-72型通风机性参数而采用玻璃钢复合材质制作而成。 该系列风机可输送含酸碱成分及化学成分的腐蚀性气体。所输送气体不允许含有粘性物质、所含粉尘及硬质颗粒≤150mg/m3、气体温度≤60℃、相对湿度≤100%.该系列风机具有强度高、重量轻、不易老化、耐腐蚀性能良好、噪音低、运转平稳等特点。是一种较为理想的通用型防腐风机。 该系列风机广泛应用于化工、电镀、氧化、发电厂、化验室、线路板、环保设备等含有腐蚀性气体的场所。 BF4-72型玻璃钢防爆离心通风机是根据客户的使用条件配置EXdI或EXdII类A、B等级防爆隔离型电机制作而成.可输送含有甲烷、乙烷、丙烷、苯乙烯、甲苯、二甲苯、一氧化碳、醋酸、煤油、汽油、呋喃等易燃、易爆挥发性气体。其性能参数和安装尺寸与F4-72型玻璃钢离心通风机一致。(B)F4-72(C式)型玻璃钢离心通风机是叶轮采用水冷座或油冷座经角带与电机传动。其好处是减少腐蚀电机、减速、降低电机负荷等作用,从而增加风机使用寿命。



|